Упр.42.30 ГДЗ Мерзляк 10 класс Углубленный уровень (Алгебра)
Решение #1

Рассмотрим вариант решения задания из учебника Мерзляк, Номировский, Поляков 10 класс, Просвещение:
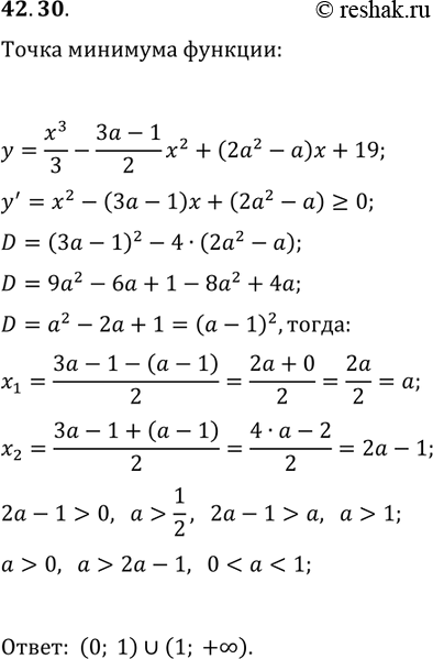
42.30. При каких значениях параметра a функция y=x^3/3-(3a-1)/2 x^2+(2a^2-a)x+19 имеет положительную точку минимума?
Похожие решебники
Популярные решебники 10 класс Все решебники
*К сожалению, временные проблемы с публикацией комментариев с мобильных устройств.