Упр.31.2 ГДЗ Мордкович Семенов 11 класс (Алгебра)
Решение #1 (Учебник 2025)
Решение #2 (Учебник 2022)

Рассмотрим вариант решения задания из учебника Мордкович, Семенов, Александрова 11 класс, Просвещение:
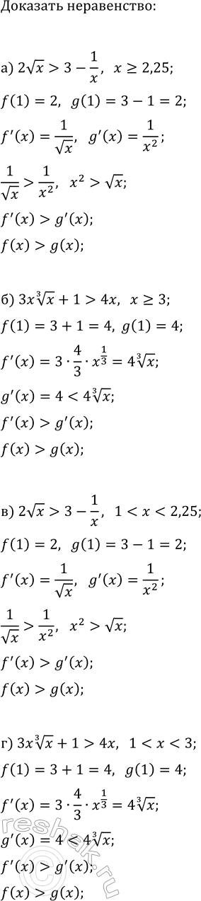
Докажите неравенство:
а) 2vx > 3 - 1/x, x ? 2,25; в) 2vx > 3 - 1/x, 1 < x < 2,25;
б) 3x x^(1/3) + 1 > 4x, x ? 3; г) 3x x^(1/3) + 1 > 4x, 1 < x ? 3.
Для всех значений параметра а решите неравенство:
а) (25-a^2)x?5-a; в) (9a^2-16x)?3a+4;
б) (a^2+4a-5)x < a+5; г) (a^2-2a-8)x < a-4.
Похожие решебники
Популярные решебники 11 класс Все решебники
*К сожалению, временные проблемы с публикацией комментариев с мобильных устройств.