Упр.31.3 ГДЗ Мордкович Семенов 11 класс (Алгебра)
Решение #1 (Учебник 2025)
Решение #2 (Учебник 2022)

Рассмотрим вариант решения задания из учебника Мордкович, Семенов, Александрова 11 класс, Просвещение:
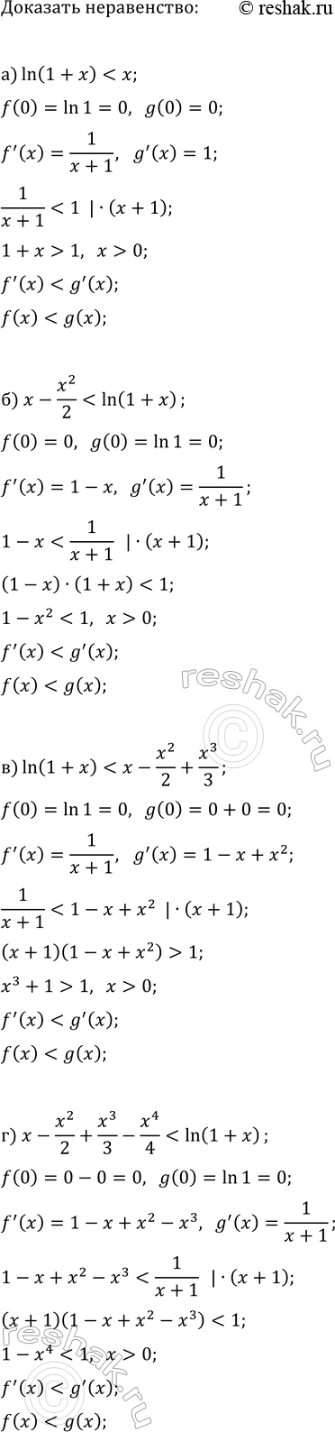
Докажите неравенство при x > 0:
а) ln(1 + x) < x; в) ln(1 + x) < x - x^2 / 2 + x^3 / 3;
б) x - x^2 / 2 < ln(1 + x); г) x - x^2 / 2 + x^3 / 3 - x^4 / 4 < ln(1 + x).
Найдите все значения параметра а, при которых уравнение ax-x-1=a^2-2:
а) имеет ровно один корень;
б) имеет хотя бы один положительный корень;
в) не имеет корней;
г) имеет более одного корня.
Похожие решебники
Популярные решебники 11 класс Все решебники
*К сожалению, временные проблемы с публикацией комментариев с мобильных устройств.