Упр.31.5 ГДЗ Мордкович Семенов 11 класс (Алгебра)
Решение #1 (Учебник 2025)
Решение #2 (Учебник 2022)

Рассмотрим вариант решения задания из учебника Мордкович, Семенов, Александрова 11 класс, Просвещение:
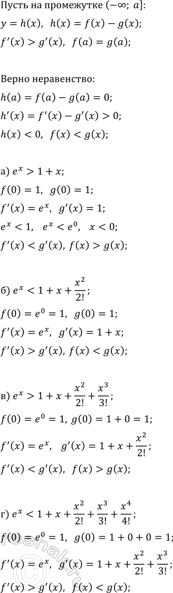
Докажите аналог теоремы 1 для луча (-?; a] и докажите, что при x < 0:
а) e^x > 1 + x;
б) e^x < 1 + x + x^2 / 2!;
в) e^x > 1 + x + x^2 / 2! + x^3 / 3!;
г) e^x < 1 + x + x^2 / 2! + x^3 / 3! + x^4 / 4!.
При каких значениях параметра а уравнение a^2x-4x+6=a^2+a:
а) имеет ровно один корень;
б) не имеет корней;
в) имеет положительный корень;
г) имеет более одного корня?
Похожие решебники
Популярные решебники 11 класс Все решебники
*К сожалению, временные проблемы с публикацией комментариев с мобильных устройств.