Упр.30.30 ГДЗ Мордкович Семенов 11 класс (Алгебра)
Решение #1 (Учебник 2022)

Рассмотрим вариант решения задания из учебника Мордкович, Семенов, Александрова 11 класс, Просвещение:
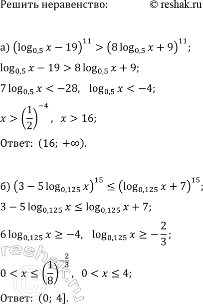
Решите неравенство:
а) (log_0,5(x)-19)^11>(8log_0,5(x)+9)^11;
б) (3-5log_0,125(x))^15?(log_0,125(x)+7)^15.
Похожие решебники
Популярные решебники 11 класс Все решебники
*К сожалению, временные проблемы с публикацией комментариев с мобильных устройств.