Упр.31.8 ГДЗ Мордкович Семенов 11 класс (Алгебра)
Решение #1 (Учебник 2025)
Решение #2 (Учебник 2022)

Рассмотрим вариант решения задания из учебника Мордкович, Семенов, Александрова 11 класс, Просвещение:
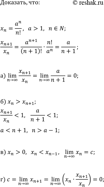
Для фиксированного a > 1 и x_n = a^n / n! докажите, что:
а) lim(n>?; x_(n+1) / x_n) = 0;
б) x_n > x_(n+1), начиная с некоторого номера;
в) существует c = lim(n>?; x_n);
г) c = 0.
Найдите все значения параметра а, при каждом из которых уравнение (a+1)x^2-2(a+3)+2a+3=0:
а) является линейным относительно х;
б) имеет ровно один корень;
в) имеет два различных корня;
г) не имеет корней.
Похожие решебники
Популярные решебники 11 класс Все решебники
*К сожалению, временные проблемы с публикацией комментариев с мобильных устройств.