Упр.31.6 ГДЗ Мордкович Семенов 11 класс (Алгебра)
Решение #1 (Учебник 2025)
Решение #2 (Учебник 2022)

Рассмотрим вариант решения задания из учебника Мордкович, Семенов, Александрова 11 класс, Просвещение:
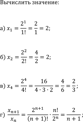
Для x_n = 2^n / n! вычислите:
а) x_1; б) x_2; в) x_4; г) x_(n+1) / x_n.
Найдите все значения параметра а, при которых уравнение ax^2+6x-a+10=0:
а) имеет два различных корня;
б) имеет ровно один корень;
в) не имеет действительных корней;
г) имеет хотя бы один корень.
Похожие решебники
Популярные решебники 11 класс Все решебники
*К сожалению, временные проблемы с публикацией комментариев с мобильных устройств.