Упр.31.4 ГДЗ Мордкович Семенов 11 класс (Алгебра)
Решение #1 (Учебник 2025)
Решение #2 (Учебник 2022)

Рассмотрим вариант решения задания из учебника Мордкович, Семенов, Александрова 11 класс, Просвещение:
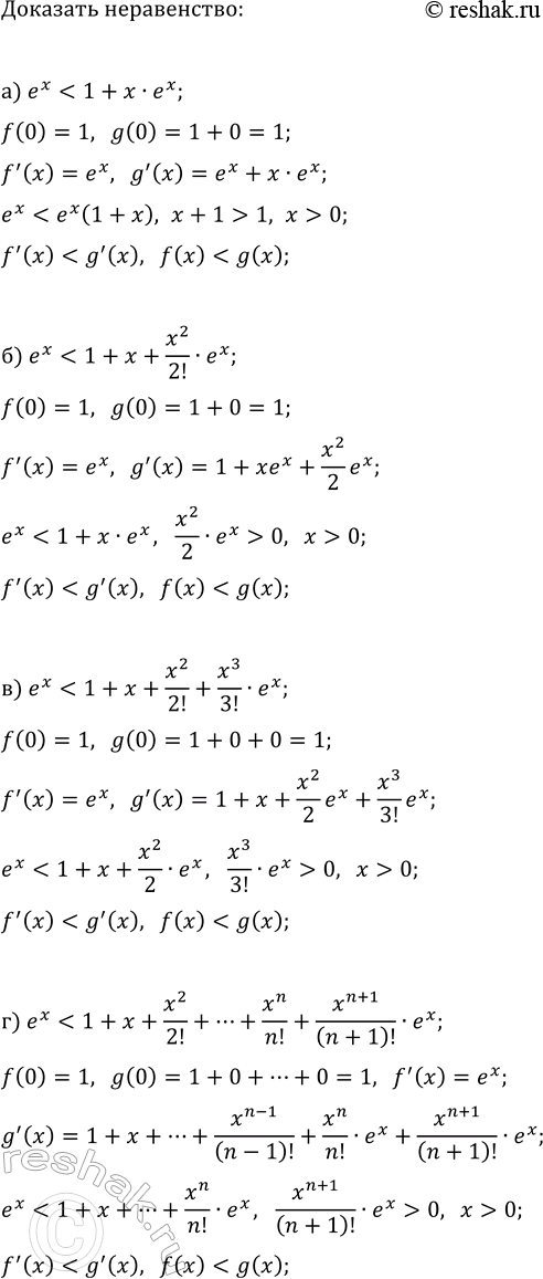
Докажите неравенство при x > 0:
а) e^x < 1 + x · e^x;
б) e^x < 1 + x + x^2 / 2! · e^x;
в) e^x < 1 + x + x^2 / 2! + x^3 / 3! · e^x;
г) e^x < 1 + x + x^2 / 2! + ... + x^n / n! + x^(n+1) / (n+1)! · e^x, используя метод математической индукции.
Найдите все значения параметра а, при каждом из которых прямая y=(a+2)x+3-2a:
а) пересекает ось Оу в точке, расположенной выше начала координат;
б) пересекает ось Ох в точке, расположенной левее начала координат;
в) пересекает ось Оу в точке, расположенной выше точки (0; -3) и ниже точки (0; —2);
г) пересекает ось Ох в точке, расположенной правее точки (2; 0) и левее точки (4; 0).
Похожие решебники
Популярные решебники 11 класс Все решебники
*К сожалению, временные проблемы с публикацией комментариев с мобильных устройств.