Упр.31.1 ГДЗ Мордкович Семенов 11 класс (Алгебра)
Решение #1 (Учебник 2025)
Решение #2 (Учебник 2022)

Рассмотрим вариант решения задания из учебника Мордкович, Семенов, Александрова 11 класс, Просвещение:
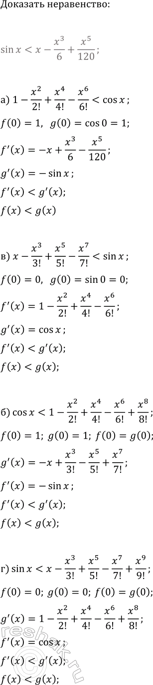
Докажите неравенство при x > 0:
а) 1 - x^2 / 2! + x^4 / 4! - x^6 / 6! < cos(x);
б) cos(x) < 1 - x^2 / 2! + x^4 / 4! - x^6 / 6! + x^8 / 8!;
в) x - x^3 / 3! + x^5 / 5! - x^7 / 7! < sin(x);
г) sin(x) < x - x^3 / 3! + x^5 / 5! - x^7 / 7! + x^9 / 9!.
Для всех значений параметра а решите уравнение:
а) (a^2-4)x-a+2=0;
б) (2a^2-3a-9)x-2a-3=0;
в) (25-4a^2)x-2a-5=0;
г) (a^2-3a-4)x-a-1=0.
Похожие решебники
Популярные решебники 11 класс Все решебники
*К сожалению, временные проблемы с публикацией комментариев с мобильных устройств.