Упр.31.7 ГДЗ Мордкович Семенов 11 класс (Алгебра)
Решение #1 (Учебник 2025)
Решение #2 (Учебник 2022)

Рассмотрим вариант решения задания из учебника Мордкович, Семенов, Александрова 11 класс, Просвещение:
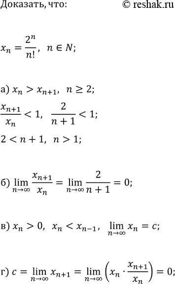
Для x_n = a^n / n! докажите, что:
а) x_n > x_(n+1), n ? 2; в) существует lim(n>?; x_n);
б) lim(n>?; x_(n+1) / x_n) = 0; г) lim(n>?; x_n) = 0.
Найдите все значения параметра а, при каждом из которых уравнение (a+1)x^2-4ax+2a+3=0:
а) является линейным относительно х;
б) имеет ровно один корень;
в) имеет два различных корня;
г) не имеет корней.
Похожие решебники
Популярные решебники 11 класс Все решебники
*К сожалению, временные проблемы с публикацией комментариев с мобильных устройств.