Упр.241 ГДЗ Мерзляк 8 класс (Алгебра)
Решение #1
Решение #2
Решение #3

Рассмотрим вариант решения задания из учебника Мерзляк, Полонская, Якир 8 класс, Вентана-Граф:
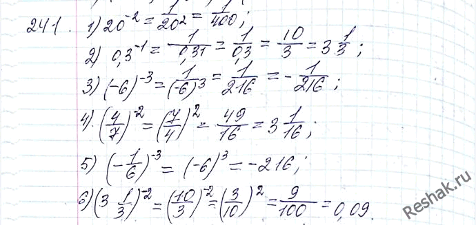
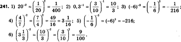
241. Найдите значение выражения:
1) 20^-2;
2) 0,3^-1;
3) (-6)^-3;
4) (4/7)^-2;
5) (-1/6)^-3;
6) (3 1/3)^-2.
Похожие решебники
Популярные решебники 8 класс Все решебники
*размещая тексты в комментариях ниже, вы автоматически соглашаетесь с пользовательским соглашением