Упр.236 ГДЗ Мерзляк 8 класс (Алгебра)
Решение #1
Решение #2
Решение #3

Рассмотрим вариант решения задания из учебника Мерзляк, Полонская, Якир 8 класс, Вентана-Граф:
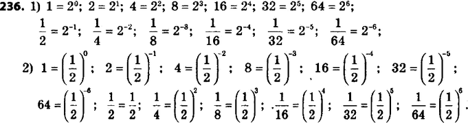
236. Представьте числа 1, 2, 4, 8, 16, 32, 64, 1/2, 1/4, 1/8, 1/16, 1/32, 1/64 в виде степени с основанием:
1) 2;
2) 1/2.
Похожие решебники
Популярные решебники 8 класс Все решебники
*размещая тексты в комментариях ниже, вы автоматически соглашаетесь с пользовательским соглашением