Упр.242 ГДЗ Мерзляк 8 класс (Алгебра)
Решение #1
Решение #2
Решение #3

Рассмотрим вариант решения задания из учебника Мерзляк, Полонская, Якир 8 класс, Вентана-Граф:
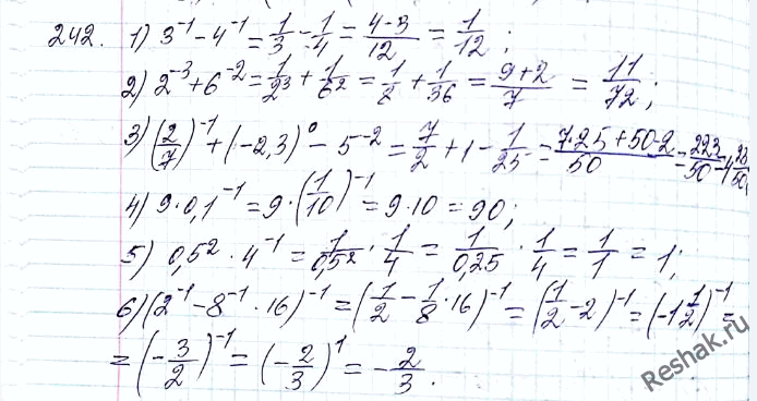
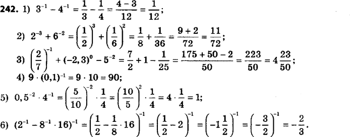
242. Вычислите значение выражения:
1) 3^-1 - 4^-1;
2) 2^-3 + 6^-2;
3) (2/7)^-1 + (-2,3)0 - 5^-2;
4) 9 * 0,1^-1;
5) 0,5^-2 * 4^-1;
6) (2^-1 - 8^-1 * 16)^-1.
Похожие решебники
Популярные решебники 8 класс Все решебники
*размещая тексты в комментариях ниже, вы автоматически соглашаетесь с пользовательским соглашением