Упр.247 ГДЗ Мерзляк 8 класс (Алгебра)
Решение #1
Решение #2
Решение #3

Рассмотрим вариант решения задания из учебника Мерзляк, Полонская, Якир 8 класс, Вентана-Граф:
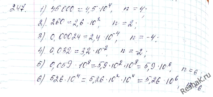
247. Запишите число в стандартном виде и укажите порядок числа:
1) 45 000;
2) 260;
3) 0,00024;
4) 0,032;
5) 0,059 * 10^8;
6) 526 * 10^4.
Похожие решебники
Популярные решебники 8 класс Все решебники
*размещая тексты в комментариях ниже, вы автоматически соглашаетесь с пользовательским соглашением