Упр.243 ГДЗ Мерзляк Полонский 8 класс (Алгебра)
Решение #1 (Учебник 2025)
Решение #2 (Учебник 2025)
Решение #3 (Учебник 2019)
Решение #4 (Учебник 2019)

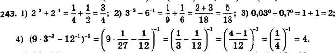
Рассмотрим вариант решения задания из учебника Мерзляк, Полонская, Якир 8 класс, Просвещение:
Какое из данных чисел записано в стандартном виде:
1) 12 * 10^4;
2) 1,2 * 10^4;
3) 0,12 * 10^4?
Чему равно значение выражения:
1) 2^-2 + 2^-1;
2) 3^-2 - 6^-1;
3) 0,03^0 + 0,7^0;
4) (9 * 3^-3 - 2^-1)^-1?
Похожие решебники
Популярные решебники 8 класс Все решебники
*К сожалению, временные проблемы с публикацией комментариев с мобильных устройств.