Упр.245 ГДЗ Мерзляк Полонский 8 класс (Алгебра)
Решение #1 (Учебник 2025)
Решение #2 (Учебник 2025)
Решение #3 (Учебник 2019)
Решение #4 (Учебник 2019)

Рассмотрим вариант решения задания из учебника Мерзляк, Полонская, Якир 8 класс, Просвещение:
Запишите числовые значения величин в стандартном виде:
1) скорость света в вакууме равна 300 000 км/с;
2) длина реки Лена равна 4400 км;
3) площадь озера Байкал составляет 32 000 км^2;
4) расстояние от Земли до Солнца составляет 149,6 млн км;
5) атмосферное давление на высоте 100 км составляет 0,032 Па;
6) диаметр молекулы воды равен 0,00000028 мм;
7) масса птички колибри равна 0,0017 кг;
8) толщина плёнки мыльного пузыря равна 0,000000012 м.
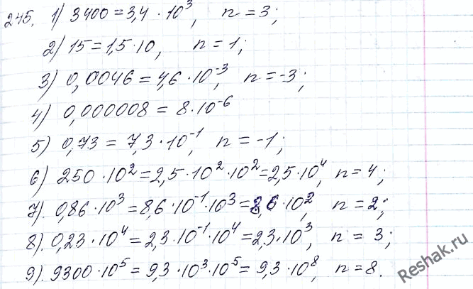
Запишите число в стандартном виде и укажите порядок числа:
1) 3400;
2) 15;
3) 0,0046;
4) 0,000008;
5) 0,73;
6) 250 * 10^2;
7) 0,86 * 10^3;
8) 0,23 * 10^4;
9) 9300 * 10^5.
Похожие решебники
Популярные решебники 8 класс Все решебники
*К сожалению, временные проблемы с публикацией комментариев с мобильных устройств.