Упр.235 ГДЗ Мерзляк 8 класс (Алгебра)
Решение #1
Решение #2
Решение #3

Рассмотрим вариант решения задания из учебника Мерзляк, Полонская, Якир 8 класс, Вентана-Граф:
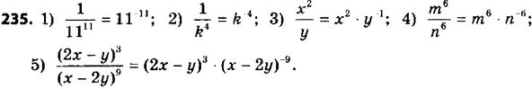
235. Замените дробь степенью с целым отрицательным показателем или произведением степеней:
1) 1/11^11;
2) 1/k4;
3) x2/y;
4) m6/n6;
5) (2x-y)3 / (x-2y)9.
Похожие решебники
Популярные решебники 8 класс Все решебники
*размещая тексты в комментариях ниже, вы автоматически соглашаетесь с пользовательским соглашением