Упр.239 ГДЗ Мерзляк Полонский 8 класс (Алгебра)
Решение #1 (Учебник 2025)
Решение #2 (Учебник 2025)
Решение #3 (Учебник 2019)
Решение #4 (Учебник 2019)

Рассмотрим вариант решения задания из учебника Мерзляк, Полонская, Якир 8 класс, Просвещение:
Вычислите:
1) 5^-2;
2) 2^-4;
3) (-9)^-2;
4) 0,2^-3;
5) 1^-24;
6) (-1)^-16;
7) (-1)^-17;
8) (7/8)0;
9) (2/3)^-3;
10) (-1 1/6)^-2.
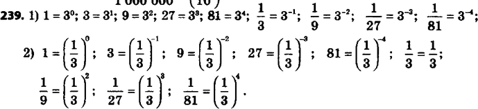
Представьте числа 1, 3, 9, 27, 81, 1/3, 1/9, 1/27, 1/81 в виде степени с основанием:
1) 3;
2) 1/3.
Похожие решебники
Популярные решебники 8 класс Все решебники
*К сожалению, временные проблемы с публикацией комментариев с мобильных устройств.