Упр.240 ГДЗ Мерзляк 8 класс (Алгебра)
Решение #1
Решение #2
Решение #3

Рассмотрим вариант решения задания из учебника Мерзляк, Полонская, Якир 8 класс, Вентана-Граф:
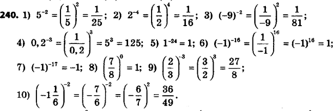
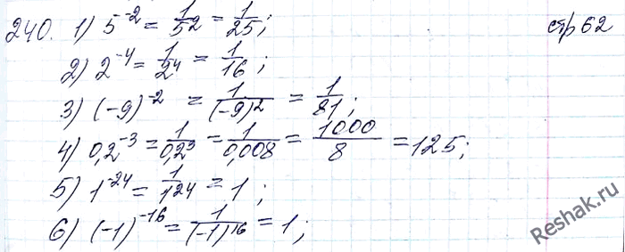
240. Вычислите:
1) 5^-2;
2) 2^-4;
3) (-9)^-2;
4) 0,2^-3;
5) 1^-24;
6) (-1)^-16;
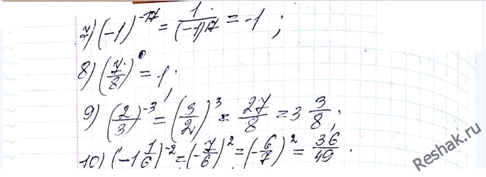
7) (-1)^-17;
8) (7/8)0;
9) (2/3)^-3;
10) (-1 1/6)^-2.
Похожие решебники
Популярные решебники 8 класс Все решебники
*К сожалению, временные проблемы с публикацией комментариев с мобильных устройств.