🔥ГДЗ под запретом?

Упр.2.455 ГДЗ Виленкин Жохов 6 класс Часть 1, Просвещение (Математика)

Решение #1 (Учебник 2023)

Изображение Найдите скорость комбайна, который убирает полосу длиной б км за 3/4 ч; за 1 1/2 ч.Для того, чтобы найти скорость движения, необходимо разделить расстояние (длину...

Решение #2 (Учебник 2023)

Изображение Найдите скорость комбайна, который убирает полосу длиной б км за 3/4 ч; за 1 1/2 ч.Для того, чтобы найти скорость движения, необходимо разделить расстояние (длину...
Дополнительное изображение

Решение #3 (Учебник 2023)

Изображение Найдите скорость комбайна, который убирает полосу длиной б км за 3/4 ч; за 1 1/2 ч.Для того, чтобы найти скорость движения, необходимо разделить расстояние (длину...

Решение #4 (Учебник 2021)

Изображение Найдите скорость комбайна, который убирает полосу длиной б км за 3/4 ч; за 1 1/2 ч.Для того, чтобы найти скорость движения, необходимо разделить расстояние (длину...

Решение #5 (Учебник 2021)

Изображение Найдите скорость комбайна, который убирает полосу длиной б км за 3/4 ч; за 1 1/2 ч.Для того, чтобы найти скорость движения, необходимо разделить расстояние (длину...

Решение #6 (Учебник 2021)

Изображение Найдите скорость комбайна, который убирает полосу длиной б км за 3/4 ч; за 1 1/2 ч.Для того, чтобы найти скорость движения, необходимо разделить расстояние (длину...

Рассмотрим вариант решения задания из учебника Виленкин, Жохов, Чесноков 6 класс, Просвещение:
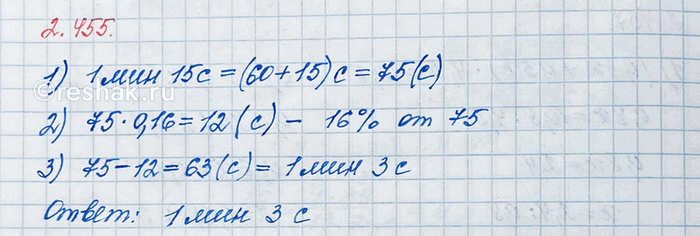
Пчёлка Лили при сборе нектара пролетела расстояние между ульем и цветком за 1 мин 15 с, а пчёлка Фили — на 16 % быстрее. Сколько времени летела Фили?

Известно, что 1 мин=60 с, поэтому
1 мин 15 с=1 мин+15 с=60 с+15 с=75 с.
Величина, от которой вычисляются проценты составляет 100 своих сотых долей, то есть 100%.
Значит, время полёта пчёлки Лили составляет 100%.
При этом пчёлка Фили пролетела расстояние на 16% быстрее.
Значит, время полёта Фили составляет 100%-16%=84% от времени полёта Лили.
Любое число процентов можно записать в виде десятичной дроби или натурального числа.
Для этого нужно число, стоящее перед знаком %, разделить на 100.
Следовательно, 84%=84:100=0,84.
Для того, чтобы разделить десятичную дробь на 100, необходимо в этой дроби перенести запятую влево на 2 цифры, при этом учитываем то, что любое натуральное число можно представить в виде десятичной дроби с каким угодно количеством нулей после запятой, то есть у натурального числа запятую подразумеваем, но не пишем, на конце справа.
Итак, получаем, что время полёта Фили составляет 0,84 от времени полёта Лили, то есть 0,84 от 75 с.
Для того, чтобы найти дробь от числа, необходимо умножить число на эту дробь.
Значит, время полёта Фили равно 75•0,84=63,00=63 с.
Для того, чтобы умножить десятичную дробь на натуральное число, необходимо умножить их как натуральные числа, не обращая внимание на запятую; в полученном произведении отделить запятой справа столько цифр, сколько их стоит после запятой у умножаемой дроби.
При этом учитываем то, что если в десятичной дроби последние цифры – нули, то, отбросив их, получим дробь, равную данной.

Найдите скорость комбайна, который убирает полосу длиной б км за 3/4 ч; за 1 1/2 ч.

Для того, чтобы найти скорость движения, необходимо разделить расстояние (длину полосы) на требуемое время в пути.
Расстояние, равное 6 км, комбайн пройдёт за 3/4 ч, если будет двигаться со скоростью
6:3/4=6•4/3=(6•4)/3=(2•3•4)/3=8/1=8 (км/ч).
Расстояние, равное 6 км, комбайн пройдёт за 1 1/2 ч, если будет двигаться со скоростью
6:1 1/2=6:3/2=6•2/3=(6•2)/3=(2•3•2)/3=4/1=4 (км/ч).
Для того, чтобы разделить натуральное число на дробь, необходимо делимое (натуральное число) умножить на число, обратное делителю, то есть у делителя нужно поменять местами числитель и знаменатель.
Для того, чтобы умножить обыкновенную дробь на натуральное число, необходимо её числитель умножить на это число, а знаменатель оставить без изменения.
Дробь, у которой в знаменателе стоит единица, равна числителю.
Ответ: 8 км/ч; 4 км/ч.

*Цитирирование задания со ссылкой на учебник производится исключительно в учебных целях для лучшего понимания разбора решения задания.
*К сожалению, временные проблемы с публикацией комментариев с мобильных устройств.