🔥ГДЗ под запретом?

Упр.2.417 ГДЗ Виленкин Жохов 6 класс Часть 1, Просвещение (Математика)

Решение #1 (Учебник 2023)

Изображение Упростите и найдите значение выражения:а) 4/7 x + 5/14 x при x = 5 1/4; 9/13;         в) 17/42 c - 2/7 c + 7/18 c при c = 3 1/2; 2 5/8;б) 5/16 y + y - 3/8 y при y =...

Решение #2 (Учебник 2023)

Изображение Упростите и найдите значение выражения:а) 4/7 x + 5/14 x при x = 5 1/4; 9/13;         в) 17/42 c - 2/7 c + 7/18 c при c = 3 1/2; 2 5/8;б) 5/16 y + y - 3/8 y при y =...
Дополнительное изображение

Решение #3 (Учебник 2023)

Изображение Упростите и найдите значение выражения:а) 4/7 x + 5/14 x при x = 5 1/4; 9/13;         в) 17/42 c - 2/7 c + 7/18 c при c = 3 1/2; 2 5/8;б) 5/16 y + y - 3/8 y при y =...

Решение #4 (Учебник 2021)

Изображение Упростите и найдите значение выражения:а) 4/7 x + 5/14 x при x = 5 1/4; 9/13;         в) 17/42 c - 2/7 c + 7/18 c при c = 3 1/2; 2 5/8;б) 5/16 y + y - 3/8 y при y =...
Дополнительное изображение

Решение #5 (Учебник 2021)

Изображение Упростите и найдите значение выражения:а) 4/7 x + 5/14 x при x = 5 1/4; 9/13;         в) 17/42 c - 2/7 c + 7/18 c при c = 3 1/2; 2 5/8;б) 5/16 y + y - 3/8 y при y =...
Дополнительное изображение

Решение #6 (Учебник 2021)

Изображение Упростите и найдите значение выражения:а) 4/7 x + 5/14 x при x = 5 1/4; 9/13;         в) 17/42 c - 2/7 c + 7/18 c при c = 3 1/2; 2 5/8;б) 5/16 y + y - 3/8 y при y =...

Рассмотрим вариант решения задания из учебника Виленкин, Жохов, Чесноков 6 класс, Просвещение:
Найдите частное:
а) 4/7 : 16/49; б) 5/9 : 1/2; в) 12/25 : 8/15; г) 9/14 : 18/35.

Упростите и найдите значение выражения:
а) 4/7 x + 5/14 x при x = 5 1/4; 9/13; в) 17/42 c - 2/7 c + 7/18 c при c = 3 1/2; 2 5/8;
б) 5/16 y + y - 3/8 y при y = 1 1/15; 1 7/8; г) 3/4 n + 2/3 n - 4/18 n при n = 1 13/23; 6/41.
Буквенным называется математическое выражение, в котором используются цифры, знаки действий и буквы.
Для того, чтобы найти значение буквенного выражения при данных значениях переменных, необходимо в него подставить значения переменных и выполнить вычисления.
При вычислении учитываем, что произведением двух дробей является дробь, числитель которой равен произведению числителей, а знаменатель – произведению знаменателей.
При этом, прежде, чем перемножить числа, выполняем сокращение.
Для того, чтобы выполнить сложение (вычитание) смешанных чисел, необходимо дробные части привести к общему знаменателю, затем отдельно выполнить сложение (вычитание) целых частей и дробных частей.
При сложении (вычитании) дробей с одинаковыми знаменателями, их числители складывают, а знаменатель оставляют тот же.
Для упрощения выражений, используем распределительное свойство умножения (вынесение одинакового множителя за скобки).
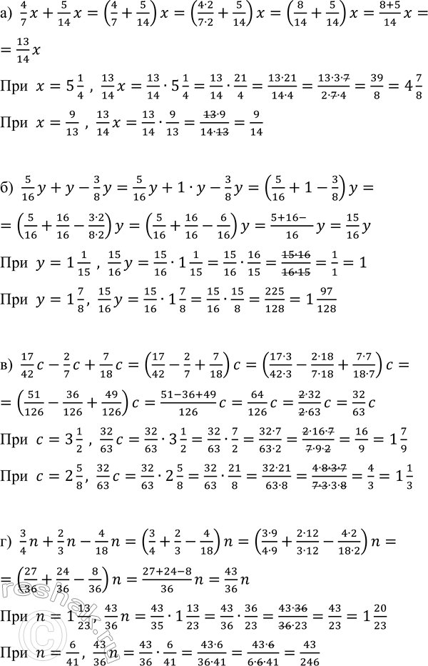
а) 4/7 x+5/14 x=(4/7+5/14)x=((4•2)/(7•2)+5/14)x=(8/14+5/14)x=(8+5)/14 x=13/14 x
При x=5 1/4, 13/14 x=13/14•5 1/4=13/14•21/4=(13•21)/(14•4)=(13•3•7)/(2•7•4)=39/8=4 7/8
При x=9/13, 13/14 x=13/14•9/13=(13•9)/(14•13)=9/14
б) 5/16 y+y-3/8 y=5/16 y+1•y-3/8 y=(5/16+1-3/8)y=(5/16+16/16-(3•2)/(8•2))y=(5/16+16/16-6/16)y=(5+16-6)/16 y=15/16 y
При y=1 1/15, 15/16 y=15/16•1 1/15=15/16•16/15=(15•16)/(16•15)=1/1=1
При y=1 7/8, 15/16 y=15/16•1 7/8=15/16•15/8=225/128=1 97/128
в) 17/42 c-2/7 c+7/18 c=(17/42-2/7+7/18)c=((17•3)/(42•3)-(2•18)/(7•18)+(7•7)/(18•7))c=(51/126-36/126+49/126)c=(51-36+49)/126 c=64/126 c=(2•32)/(2•63) c=32/63 c
При c=3 1/2, 32/63 c=32/63•3 1/2=32/63•7/2=(32•7)/(63•2)=(2•16•7)/(7•9•2)=16/9=1 7/9
При c=2 5/8, 32/63 c=32/63•2 5/8=32/63•21/8=(32•21)/(63•8)=(4•8•3•7)/(7•3•3•8)=4/3=1 1/3
г) 3/4 n+2/3 n-4/18 n=(3/4+2/3-4/18)n=((3•9)/(4•9)+(2•12)/(3•12)-(4•2)/(18•2))n=(27/36+24/36-8/36)n=(27+24-8)/36 n=43/36 n
При n=1 13/23, 43/36 n=43/35•1 13/23=43/36•36/23=(43•36)/(36•23)=43/23=1 20/23
При n=6/41, 43/36 n=43/36•6/41=(43•6)/(36•41)=(43•6)/(6•6•41)=43/246

*Цитирирование задания со ссылкой на учебник производится исключительно в учебных целях для лучшего понимания разбора решения задания.
*К сожалению, временные проблемы с публикацией комментариев с мобильных устройств.