🔥ГДЗ под запретом?

Упр.2.310 ГДЗ Виленкин Жохов 6 класс Часть 1, Просвещение (Математика)

Решение #1 (Учебник 2023)

Изображение ) Туристический маршрут был рассчитан на три дня. В первый день туристы прошли 3/8 всего пути, а во второй - 5/12 пути. Какую часть пути им осталось пройти в третий...

Решение #2 (Учебник 2023)

Изображение ) Туристический маршрут был рассчитан на три дня. В первый день туристы прошли 3/8 всего пути, а во второй - 5/12 пути. Какую часть пути им осталось пройти в третий...
Дополнительное изображение

Решение #3 (Учебник 2023)

Изображение ) Туристический маршрут был рассчитан на три дня. В первый день туристы прошли 3/8 всего пути, а во второй - 5/12 пути. Какую часть пути им осталось пройти в третий...

Решение #4 (Учебник 2021)

Изображение ) Туристический маршрут был рассчитан на три дня. В первый день туристы прошли 3/8 всего пути, а во второй - 5/12 пути. Какую часть пути им осталось пройти в третий...

Решение #5 (Учебник 2021)

Изображение ) Туристический маршрут был рассчитан на три дня. В первый день туристы прошли 3/8 всего пути, а во второй - 5/12 пути. Какую часть пути им осталось пройти в третий...

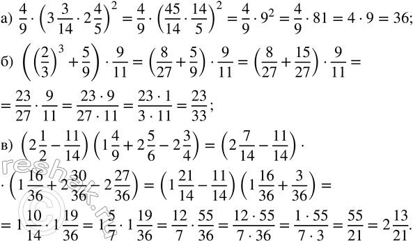
Рассмотрим вариант решения задания из учебника Виленкин, Жохов, Чесноков 6 класс, Просвещение:
Вычислите:
а) 4/9 · (3 3/14 · 2 4/5)^2;
б) ((2/3)^3 + 5/9) · 9/11;
в) (2 1/2 - 11/14) · (1 4/9 + 2 5/6 - 2 3/4).

) Туристический маршрут был рассчитан на три дня. В первый день туристы прошли 3/8 всего пути, а во второй - 5/12 пути. Какую часть пути им осталось пройти в третий день?
2) Бассейн наполняется водой с помощью двух труб. Через одну трубу наполнилось 4/15 всего бассейна, а через другую — 5/9 бассейна. Какая часть бассейна осталась незаполненной после отключения обеих труб?

*Цитирирование задания со ссылкой на учебник производится исключительно в учебных целях для лучшего понимания разбора решения задания.
*К сожалению, временные проблемы с публикацией комментариев с мобильных устройств.