🔥ГДЗ под запретом?

Упр.2.309 ГДЗ Виленкин Жохов 6 класс Часть 1, Просвещение (Математика)

Решение #1 (Учебник 2023)

Изображение Выразите в процентах:a) 3/4;   б) 0,8;   в) 0,24;   г) 2/5;   д) 7/50;   е) 2 3/4.Для того, чтобы представить обыкновенную дробь в процентах, сначала необходимо...

Решение #2 (Учебник 2023)

Изображение Выразите в процентах:a) 3/4;   б) 0,8;   в) 0,24;   г) 2/5;   д) 7/50;   е) 2 3/4.Для того, чтобы представить обыкновенную дробь в процентах, сначала необходимо...
Дополнительное изображение

Решение #3 (Учебник 2023)

Изображение Выразите в процентах:a) 3/4;   б) 0,8;   в) 0,24;   г) 2/5;   д) 7/50;   е) 2 3/4.Для того, чтобы представить обыкновенную дробь в процентах, сначала необходимо...

Решение #4 (Учебник 2021)

Изображение Выразите в процентах:a) 3/4;   б) 0,8;   в) 0,24;   г) 2/5;   д) 7/50;   е) 2 3/4.Для того, чтобы представить обыкновенную дробь в процентах, сначала необходимо...

Решение #5 (Учебник 2021)

Изображение Выразите в процентах:a) 3/4;   б) 0,8;   в) 0,24;   г) 2/5;   д) 7/50;   е) 2 3/4.Для того, чтобы представить обыкновенную дробь в процентах, сначала необходимо...

Решение #6 (Учебник 2021)

Изображение Выразите в процентах:a) 3/4;   б) 0,8;   в) 0,24;   г) 2/5;   д) 7/50;   е) 2 3/4.Для того, чтобы представить обыкновенную дробь в процентах, сначала необходимо...

Рассмотрим вариант решения задания из учебника Виленкин, Жохов, Чесноков 6 класс, Просвещение:
Найдите значение выражения:
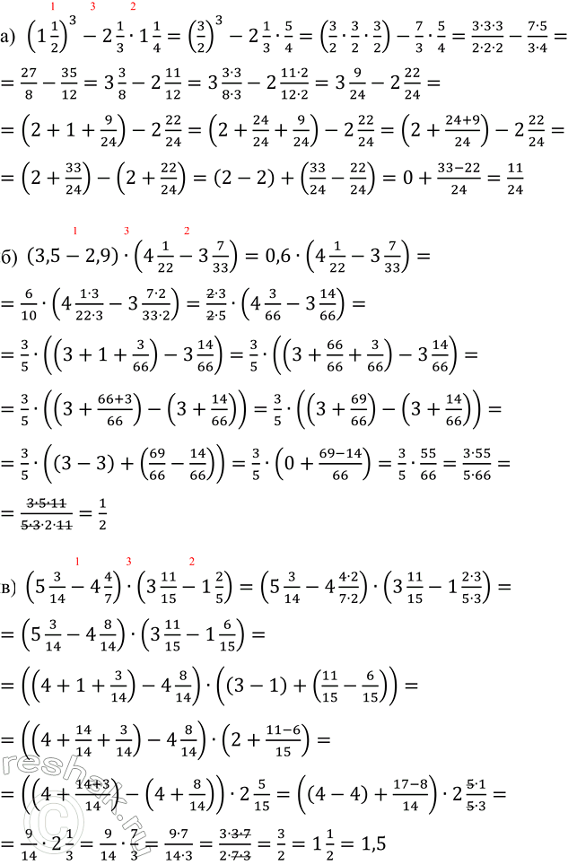
а) (1 1/2)^3 - 2 2/3 · 1 1/4;
б) (3,5 - 2,9) · (4 1/22 - 3 7/33);
в) (5 3/14 - 4 4/7) · (3 11/15 - 1 2/5).

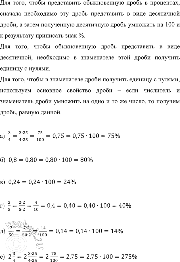
Выразите в процентах:
a) 3/4; б) 0,8; в) 0,24; г) 2/5; д) 7/50; е) 2 3/4.

Для того, чтобы представить обыкновенную дробь в процентах, сначала необходимо эту дробь представить в виде десятичной дроби, а затем полученную десятичную дробь умножить на 100 и к результату приписать знак %.
Для того, чтобы обыкновенную дробь представить в виде десятичной, необходимо в знаменателе этой дроби получить единицу с нулями.
Для того, чтобы в знаменателе дроби получить единицу с нулями, используем основное свойство дроби – если числитель и знаменатель дроби умножить на одно и то же число, то получим дробь, равную данной.
а) 3/4=(3•25)/(4•25)=75/100=0,75=0,75•100=75%
б) 0,8=0,80=0,80•100=80%
в) 0,24=0,24•100=24%
г) 2/5=(2•2)/(5•2)=4/10=0,4=0,40=0,40•100=40%
д) 7/50=(7•2)/(50•2)=14/100=0,14=0,14•100=14%
е) 2 3/4=2 (3•25)/(4•25)=2 75/100=2,75=2,75•100=275%

*Цитирирование задания со ссылкой на учебник производится исключительно в учебных целях для лучшего понимания разбора решения задания.
*К сожалению, временные проблемы с публикацией комментариев с мобильных устройств.