🔥ГДЗ под запретом?

Упр.2.214 ГДЗ Виленкин Жохов 6 класс Часть 1, Просвещение (Математика)

Решение #1 (Учебник 2023)

Изображение Вычислите значение выражения:а) (12 1/3 - 11 1/4) + (14 - 9 8/15);   в) (14 2/3 - 5 5/9) - (3 7/8 + 4 5/6) + (10 3/4 - 4 4/9);б) (15 - 12 5/8) - (13 1/2 - 11 2/9);  ...

Решение #2 (Учебник 2023)

Изображение Вычислите значение выражения:а) (12 1/3 - 11 1/4) + (14 - 9 8/15);   в) (14 2/3 - 5 5/9) - (3 7/8 + 4 5/6) + (10 3/4 - 4 4/9);б) (15 - 12 5/8) - (13 1/2 - 11 2/9);  ...

Решение #3 (Учебник 2021)

Изображение Вычислите значение выражения:а) (12 1/3 - 11 1/4) + (14 - 9 8/15);   в) (14 2/3 - 5 5/9) - (3 7/8 + 4 5/6) + (10 3/4 - 4 4/9);б) (15 - 12 5/8) - (13 1/2 - 11 2/9);  ...

Решение #4 (Учебник 2021)

Изображение Вычислите значение выражения:а) (12 1/3 - 11 1/4) + (14 - 9 8/15);   в) (14 2/3 - 5 5/9) - (3 7/8 + 4 5/6) + (10 3/4 - 4 4/9);б) (15 - 12 5/8) - (13 1/2 - 11 2/9);  ...
Дополнительное изображение

Решение #5 (Учебник 2021)

Изображение Вычислите значение выражения:а) (12 1/3 - 11 1/4) + (14 - 9 8/15);   в) (14 2/3 - 5 5/9) - (3 7/8 + 4 5/6) + (10 3/4 - 4 4/9);б) (15 - 12 5/8) - (13 1/2 - 11 2/9);  ...
Дополнительное изображение

Рассмотрим вариант решения задания из учебника Виленкин, Жохов, Чесноков 6 класс, Просвещение:
Баржа наполняется зерном через первую трубу за б ч, а через вторую - за 8 ч. Какую часть баржи останется наполнить после совместной работы обеих труб в течение часа?

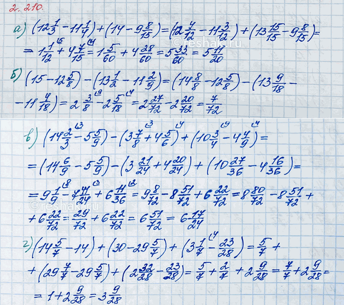
Вычислите значение выражения:
а) (12 1/3 - 11 1/4) + (14 - 9 8/15); в) (14 2/3 - 5 5/9) - (3 7/8 + 4 5/6) + (10 3/4 - 4 4/9);
б) (15 - 12 5/8) - (13 1/2 - 11 2/9); г) (14 5/7 - 14) + (30 - 29 5/7) + (3 1/7 - 23/28).

Для того, чтобы выполнить сложение (вычитание) смешанных чисел, необходимо дробные части привести к общему знаменателю, затем отдельно выполнить сложение (вычитание) целых частей и дробных частей.
Если числитель и знаменатель дроби умножить на одно и то же натуральное число, то получится дробь равная данной.
Когда на первом месте стоит целое число и из него необходимо вычесть смешанное число, нужно целое число представить в виде смешанного числа, у которого дробная часть будет являться неправильной дробью.
Если в первом числителе стоит число меньше, чем во втором числителе, то необходимо занять единицу у целой части и представить её в виде неправильной дроби совместно с данной дробью, затем отдельно выполнить вычитание целых частей и дробных частей.
Если в ответе получается сократимая дробь, необходимо числитель и знаменатель разделить на одно и то же число.

а) (12 1/3-11 1/4)+(14-9 8/15)=(12 (1•4)/(3•4)-11 (1•3)/(4•3))+(13+1-9 8/15)=(12 4/12-11 3/12)+(13+15/15-9 8/15)=1 (4-3)/12+4 (15-8)/15=1 1/12+4 7/15=1 (1•5)/(12•5)+4 (7•4)/(15•4)=1 5/60+4 28/60=5 (5+28)/60=5 33/60=5 (3•11)/(3•20)=5 11/20

б) (15-12 5/8)-(13 1/2-11 2/9)=(14+1-12 5/8)-(13 (1•9)/(2•9)-11 (2•2)/(9•2))=(14+8/8-12 5/8)-(13 9/18-11 4/18)=((14-12)+(8-5)/8)-2 (9-4)/18=2 3/8-2 5/18=2 (3•9)/(8•9)-2 (5•4)/(18•4)=2 27/72-2 20/72=(27-20)/72=7/72

в) (14 2/3-5 5/9)-(3 7/8+4 5/6)+(10 3/4-4 4/9)=(14 (2•3)/(3•3)-5 5/9)-(3 (7•3)/(8•3)+4 (5•4)/(6•4))+(10 (3•9)/(4•9)-4 (4•4)/(9•4))=(14 6/9-5 5/9)-(3 21/24+4 20/24)+(10 27/36-4 16/36)=9 (6-5)/9-7 (21+20)/24+6 (27-16)/36=9 1/9-7 41/24+6 11/36=9 1/9-(7+1 17/24)+6 11/36=9 1/9-8 17/24+6 11/36=9 (1•8)/(9•8)-8 (17•3)/(24•3)+6 (11•2)/(36•2)=9 8/72-8 51/72+6 22/72=(8+1+8/72)-8 51/72+6 22/72=(8+72/72+8/72)-8 51/72+6 22/72=8 (72+8)/72-8 51/72+6 22/72=8 80/72-8 51/72+6 22/72=(8-8+6)+(80-51+22)/72=6+51/72=6 (3•17)/(3•24)=6 17/24

г) (14 5/7-14)+(30-29 5/7)+(3 1/7-23/28)=5/7+(29+1-29 5/7)+(3 (1•4)/(7•4)-23/28)=5/7+(29+7/7-29 5/7)+(3 4/28-23/28)=5/7+(7-5)/7+((2+1+4/28)-23/28)=5/7+2/7+(2+28/28+4/28-23/28)=(5+2)/7+2 (28+4-23)/28=7/7+2 9/28=1+2 9/28=3 9/28

*Цитирирование задания со ссылкой на учебник производится исключительно в учебных целях для лучшего понимания разбора решения задания.
*К сожалению, временные проблемы с публикацией комментариев с мобильных устройств.