🔥ГДЗ под запретом?

Упр.2.20 ГДЗ Виленкин Жохов 6 класс Часть 1, Просвещение (Математика)

Решение #1 (Учебник 2023)

Изображение Из множества A = {726 245, 2 977 385, 4 224 423, 65 358, 111 888, 876 555, 909 237} выпишите те числа, которые:а) кратны 5;   в) делятся без остатка на 3 и на 2;б)...

Решение #2 (Учебник 2023)

Изображение Из множества A = {726 245, 2 977 385, 4 224 423, 65 358, 111 888, 876 555, 909 237} выпишите те числа, которые:а) кратны 5;   в) делятся без остатка на 3 и на 2;б)...

Решение #3 (Учебник 2021)

Изображение Из множества A = {726 245, 2 977 385, 4 224 423, 65 358, 111 888, 876 555, 909 237} выпишите те числа, которые:а) кратны 5;   в) делятся без остатка на 3 и на 2;б)...

Решение #4 (Учебник 2021)

Изображение Из множества A = {726 245, 2 977 385, 4 224 423, 65 358, 111 888, 876 555, 909 237} выпишите те числа, которые:а) кратны 5;   в) делятся без остатка на 3 и на 2;б)...
Дополнительное изображение

Решение #5 (Учебник 2021)

Изображение Из множества A = {726 245, 2 977 385, 4 224 423, 65 358, 111 888, 876 555, 909 237} выпишите те числа, которые:а) кратны 5;   в) делятся без остатка на 3 и на 2;б)...

Рассмотрим вариант решения задания из учебника Виленкин, Жохов, Чесноков 6 класс, Просвещение:
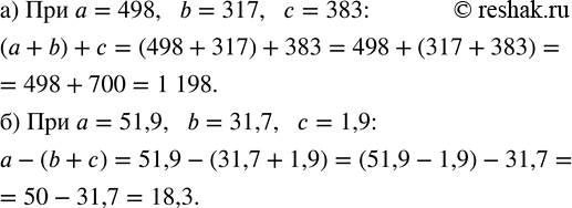
Найдите удобным способом значение выражения:
а) (а + b) + с при а = 498, b = 317, с = 383;
б) а - (b + с) при а = 51,9, b = 31,7, с = 1,9.

Из множества A = {726 245, 2 977 385, 4 224 423, 65 358, 111 888, 876 555, 909 237} выпишите те числа, которые:
а) кратны 5; в) делятся без остатка на 3 и на 2;
б) кратны 3; г) кратны 9 и 5.

A={726245,2977385,4224423,65358,111888,876555,909237}
Начнём с нахождения суммы цифр для всех чисел.
Одновременно будем проверять на этих числах признаки делимости на 2, на 3, на 5, на 9.
726 245
7+2+6+2+4+5=9+8+9=17+9=26
Число делится на 5, так как запись числа заканчивается цифрой 5.
2 977 385
2+9+7+7+3+8+5=11+14+11+5=25+16=41
Число делится на 5, так как запись числа заканчивается цифрой 5.
4 224 423
4+2+2+4+4+2+3=6+6+6+3=12+9=21
Число делится на 3, так как сумма цифр в записи числа делится на 3.
65 358
6+5+3+5+8=11+8+8=11+16=27
Число делится на 2, так как запись числа оканчивается чётной цифрой 8.
А также число делится на 3 и на 9, так как сумма цифр в записи числа делится на 3 и на 9.
111 888
1+1+1+8+8+8=2+9+16=11+16=27
Число делится на 2, так как запись числа оканчивается чётной цифрой 8.
А также число делится на 3 и на 9, так как сумма цифр в записи числа делится на 3 и на 9.
876 555
8+7+6+5+5+5=15+11+10=26+10=36
Число делится на 5, так как запись числа оканчивается цифрой 5.
А также число делится на 3 и на 9, так как сумма цифр в записи числа делится на 3 и на 9.
909 237
9+0+9+2+3+7=9+11+10=20+10=30
Число делится на 3, так как сумма цифр в записи числа делится на 3.
Теперь выберем с учётом выводов числа в каждый из пунктов:
а) Кратны 5 – 726 245; 2 977 385; 876 555.
б) Кратны 3 – 4 224 423; 65 358; 111 888; 876 555; 909 237.
в) Делятся без остатка на 3 и на 2 – 65 358; 111 888.
г) Кратны 9 и 5 – 876 555.

*Цитирирование задания со ссылкой на учебник производится исключительно в учебных целях для лучшего понимания разбора решения задания.
*К сожалению, временные проблемы с публикацией комментариев с мобильных устройств.