Упр.2.15 ГДЗ Мордкович Семенов 11 класс (Алгебра)
Решение #1 (Учебник 2025)

Рассмотрим вариант решения задания из учебника Мордкович, Семенов, Александрова 11 класс, Просвещение:
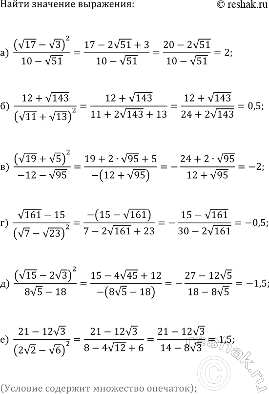
Найдите значение выражения:
а) (v17 - v3)^2 / (10 - v51); г) v161 - 15 / (v7 - v13)^2;
б) (10 + v143) / (v11 + v13)^2; д) (v15 - 2v3)^2 / (8v5 - 18);
в) (v19 + v5)^2 / (-12 - v95); е) (21 - 12v3) / (2v2 - v6)^2.
Похожие решебники
Популярные решебники 11 класс Все решебники
*К сожалению, временные проблемы с публикацией комментариев с мобильных устройств.