Упр.2.12 ГДЗ Мордкович Семенов 11 класс (Алгебра)
Решение #1 (Учебник 2025)
Решение #2 (Учебник 2022)

Рассмотрим вариант решения задания из учебника Мордкович, Семенов, Александрова 11 класс, Просвещение:
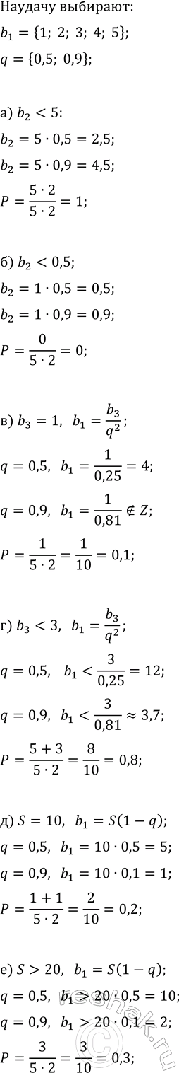
В бесконечной геометрической прогрессии первый член наудачу выбирают из чисел 1, 2, 3, 4, 5, а знаменатель — из чисел 0,5 и 0,9. Найдите вероятность события:
а) второй член прогрессии меньше 5;
б) второй член прогрессии меньше 0,5;
в) третий член равен 1;
г) третий член прогрессии меньше 3;
д) сумма прогрессии равна 10;
е) сумма прогрессии больше 20.
а) Дано: cos(t)=-12/13, 13?/2<t<7?. Вычислите: cos(-t)-sin(-t).
б) Дано: sin(t)=7/25, 16?<t<33?/2. Вычислите: cos(-t)+sin(-t).
Похожие решебники
Популярные решебники 11 класс Все решебники
*К сожалению, временные проблемы с публикацией комментариев с мобильных устройств.