Упр.2.11 ГДЗ Мордкович Семенов 11 класс (Алгебра)
Решение #1 (Учебник 2025)
Решение #2 (Учебник 2022)

Рассмотрим вариант решения задания из учебника Мордкович, Семенов, Александрова 11 класс, Просвещение:
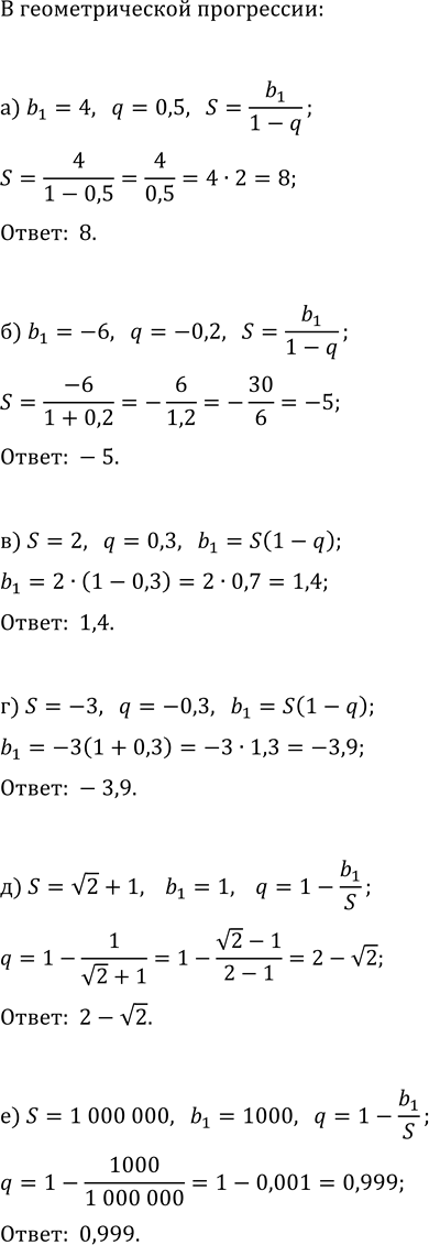
Для бесконечной геометрической прогрессии, знаменатель которой по модулю меньше единицы, по известным двум из трёх значений S, b_1, q вычислите третье:
а) b_1 = 4, q = 0,5; г) S = -3, q = -0,3;
б) b_1 = -6, q = -0,2; д) S = v2 + 1, b_1 = 1;
в) S = 2, q = 0,3; е) S = 1 000 000, b_1 = 1000.
Дана функция y=f(x), где f(x)={4/(x+2), если x?-3; -x^2+5, если -3<x?2; log_2(x), если x>2}.
а) Вычислите: f(-4); f(-3); f(-2); f(2); f(8);
б) постройте график функции;
в) прочитайте график функции;
г) найдите значения параметра p, при которых уравнение f(x)=p имеет единственный корень.
Похожие решебники
Популярные решебники 11 класс Все решебники
*К сожалению, временные проблемы с публикацией комментариев с мобильных устройств.