Упр.2.10 ГДЗ Мордкович Семенов 11 класс (Алгебра)
Решение #1 (Учебник 2025)
Решение #2 (Учебник 2022)

Рассмотрим вариант решения задания из учебника Мордкович, Семенов, Александрова 11 класс, Просвещение:
Решите неравенство:
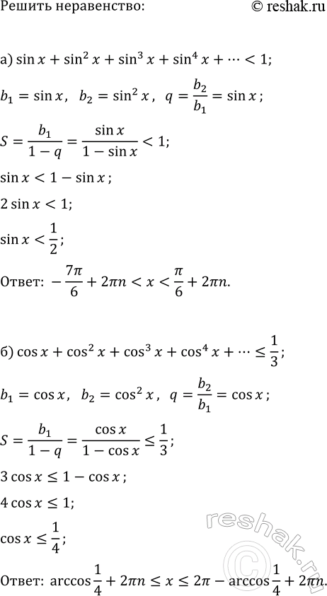
а) sin(x) + sin^2(x) + sin^3(x) + sin^4(x) + ... < 1; x != ?/2 + ?n, n ? Z;
б) cos(x) + cos^2(x) + cos^3(x) + cos^4(x) + ... ? 1/3; x != ?n, n ? Z.
Решите неравенство:
а) 6^x+6^(x+2)?222;
б) 3·(1/v3)^(2x)-10·(1/v3)^x+3<0;
в) 5^(2x)<3^x;
г) 7^(x+1)-7^x?294;
д) (1/5)^(x-1)-26·(1/v5)^x+5>0;
е) 4^x>(1/5)^(2x).
Похожие решебники
Популярные решебники 11 класс Все решебники
*К сожалению, временные проблемы с публикацией комментариев с мобильных устройств.