Упр.2.16 ГДЗ Мордкович Семенов 11 класс (Алгебра)
Решение #1 (Учебник 2025)

Рассмотрим вариант решения задания из учебника Мордкович, Семенов, Александрова 11 класс, Просвещение:
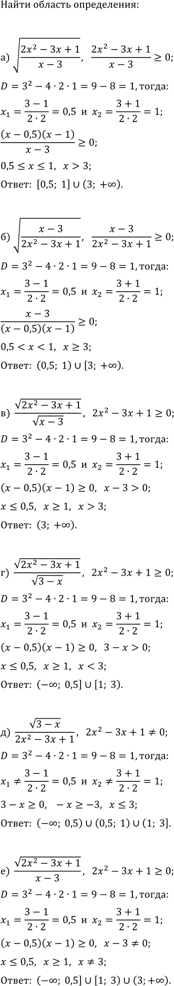
Найдите область определения выражения:
а) v((2x^2 - 3x + 1) / (x - 3)); г) v((2x^2 - 3x + 1) / v(3 - x));
б) v((x - 3) / v(2x^2 - 3x + 1)); д) v(3 - x) / (2x^2 - 3x + 1);
в) v(2x^2 - 3x + 1) / v(x - 3); е) v(2x^2 - 3x + 1) / (x - 3).
Похожие решебники
Популярные решебники 11 класс Все решебники
*К сожалению, временные проблемы с публикацией комментариев с мобильных устройств.