Упр.2.9 ГДЗ Мордкович Семенов 11 класс (Алгебра)
Решение #1 (Учебник 2025)
Решение #2 (Учебник 2022)

Рассмотрим вариант решения задания из учебника Мордкович, Семенов, Александрова 11 класс, Просвещение:
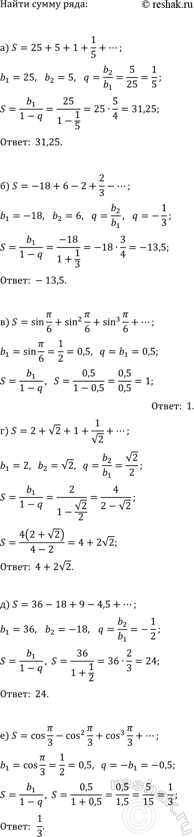
Найдите сумму бесконечной геометрической прогрессии:
а) 25 + 5 + 1 + 1/5 + ...;
б) -18 + 6 - 2 + 2/3 - ...;
в) sin(?/6) + sin^2(?/6) + sin^3(?/6) + ... + sin^n(?/6) + ...;
г) 2 + v2 + 1 + 1/v2 + ...;
д) 36 - 18 + 9 - 4,5 + ...;
е) cos(?/3) - cos^2(?/3) + cos^3(?/3) - ... + (-1)^(n+1) cos^n(?/3) + ... .
Найдите сумму:
а) sin(?/6)+sin^2(?/6)+sin^3(?/6)+...+sin^n(?/6)+...;
б) cos(?/3)-cos^2(?/3)+cos^3(?/3)-...+(-1)^(n+1)cos^n(?/3)+... .
Похожие решебники
Популярные решебники 11 класс Все решебники
*К сожалению, временные проблемы с публикацией комментариев с мобильных устройств.