Упр.15.19 ГДЗ Мордкович Семенов 11 класс (Алгебра)
Решение #1 (Учебник 2025)
Решение #2 (Учебник 2022)

Рассмотрим вариант решения задания из учебника Мордкович, Семенов, Александрова 11 класс, Просвещение:
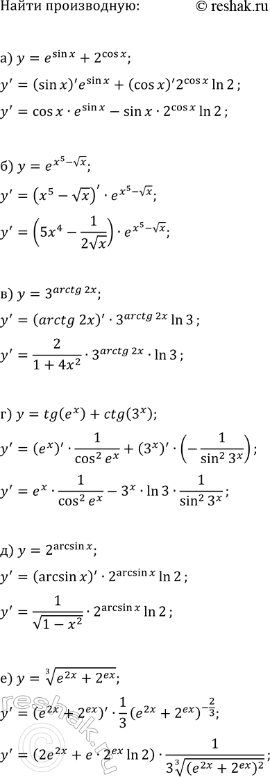
Найдите производную функции:
а) y = e^(sin x) + 2^(cos x); б) y = e^(x^5 - vx);
в) y = 3^(arctg 2x); г) y = tg(e^x) + ctg(3^x);
д) y = 2^(arcsin x); е) y = (e^(2x)+2^(ex))^(1/3).
Исследуйте данную функцию на монотонность:
а) y=2^x+ln(x); в) y=3^x+x^17;
б) y=2x^2-ln(x); г) y=x-ln(x+1).
Похожие решебники
Популярные решебники 11 класс Все решебники
*К сожалению, временные проблемы с публикацией комментариев с мобильных устройств.