Упр.708 ГДЗ Макарычев Миндюк 9 класс (Алгебра)
Решение #1
Решение #2
Решение #3

Рассмотрим вариант решения задания из учебника Макарычев, Миндюк, Нешков 9 класс, Просвещение:
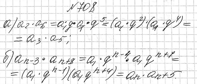
708. Докажите, что если (аn) — геометрическая прогрессия, то:
а) a2*a6= a3*a5;
б) an-3*an+8=an*an+5, где n > 3.
Похожие решебники
Популярные решебники 9 класс Все решебники
*размещая тексты в комментариях ниже, вы автоматически соглашаетесь с пользовательским соглашением