Упр.707 ГДЗ Макарычев Миндюк 9 класс (Алгебра)
Решение #1
Решение #2
Решение #3

Рассмотрим вариант решения задания из учебника Макарычев, Миндюк, Нешков 9 класс, Просвещение:
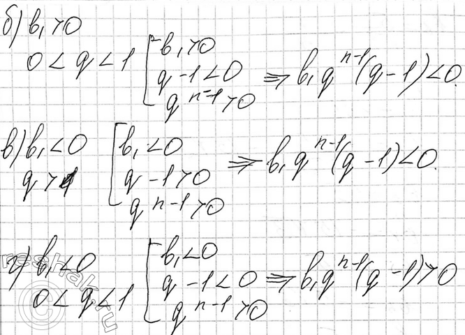
707. Последовательность (bn) — геометрическая прогрессия. Докажите, что:
а) если b1 > 0 и q > 1, то каждый следующий член прогрессии больше предыдущего;
б) если b1 > 0 и 0 < q < 1, то каждый следующий член прогрессии меньше предыдущего;
в) если b1 < 0 и q > 1, то каждый следующий член прогрессии меньше предыдущего;
г) если b1 < 0 и 0 < q < 1, то каждый следующий член прогрессии больше предыдущего.
Для каждого из рассмотренных случаев приведите пример.
Похожие решебники
Популярные решебники 9 класс Все решебники
*размещая тексты в комментариях ниже, вы автоматически соглашаетесь с пользовательским соглашением