Упр.673 ГДЗ Макарычев Миндюк 9 класс (Алгебра)
Решение #1
Решение #2
Решение #3

Рассмотрим вариант решения задания из учебника Макарычев, Миндюк, Нешков 9 класс, Просвещение:
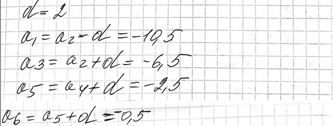
673. Найдите члены арифметической прогрессии (аn), обозначенные буквами:
а) а1; а2; -19; —11,5; а5; ... ;
б) а1; -8,5; а3; -4,5; а5; а6; ... .
Похожие решебники
Популярные решебники 9 класс Все решебники
*размещая тексты в комментариях ниже, вы автоматически соглашаетесь с пользовательским соглашением