Упр.677 ГДЗ Макарычев Миндюк 9 класс (Алгебра)
Решение #1
Решение #2
Решение #3

Рассмотрим вариант решения задания из учебника Макарычев, Миндюк, Нешков 9 класс, Просвещение:
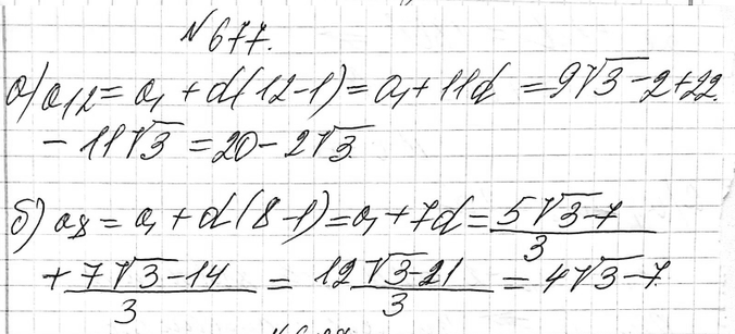
677. Последовательность (аn) - арифметическая прогрессия. Найдите:
а) a12, если a1= 9 (корень 3) - 2 и d=2 - корень 3;
б) a8, если a1= (5 (корень 3) - 7)/3 и d= ( (корень 3) -2)/3.
Похожие решебники
Популярные решебники 9 класс Все решебники
*К сожалению, временные проблемы с публикацией комментариев с мобильных устройств.