Упр.664 ГДЗ Макарычев Миндюк 9 класс (Алгебра)
Решение #1
Решение #2
Решение #3

Рассмотрим вариант решения задания из учебника Макарычев, Миндюк, Нешков 9 класс, Просвещение:
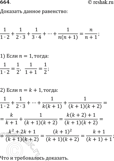
664 Докажите, что при любом натуральном n сумма
1/1*2 + 1/2*3 + 1/3*4 + ...+1.(n(n+1))
может быть вычислена по формуле Sn=n/(n+1).
Похожие решебники
Популярные решебники 9 класс Все решебники
*размещая тексты в комментариях ниже, вы автоматически соглашаетесь с пользовательским соглашением