🔥ГДЗ под запретом?

Упр.639 ГДЗ Атанасян 7-9 класс по геометрии (Геометрия)

Решение #1 (Учебник 2025)

Изображение Прямая АВ касается окружности с центром О радиуса r в точке В. Найдите АВ, если угол AOB = 60°, а r= 12...

Решение #2 (Учебник 2023)

Изображение Прямая АВ касается окружности с центром О радиуса r в точке В. Найдите АВ, если угол AOB = 60°, а r= 12...

Рассмотрим вариант решения задания из учебника Атанасян, Бутузов 8 класс, Просвещение:
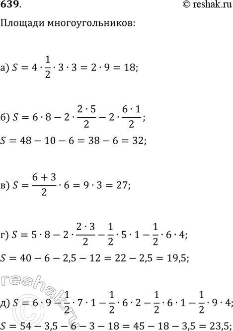
639. На клетчатой бумаге (рис. 219) изображены многоугольники. Найдите их площади.

Площади многоугольников:
а) S=4•1/2•3•3=2•9=18;
б) S=6•8-2•(2•5)/2-2•(6•1)/2;
S=48-10-6=38-6=32;
в) S=(6+3)/2•6=9•3=27;
г) S=5•8-2•(2•3)/2-1/2•5•1-1/2•6•4;
S=40-6-2,5-12=22-2,5=19,5;
д) S=6•9-1/2•7•1-1/2•6•2-1/2•6•1-1/2•9•4;
S=54-3,5-6-3-18=45-18-3,5=23,5;

Прямая АВ касается окружности с центром О радиуса r в точке В. Найдите АВ, если угол AOB = 60°, а r= 12 см.

*Цитирирование задания со ссылкой на учебник производится исключительно в учебных целях для лучшего понимания разбора решения задания.
*К сожалению, временные проблемы с публикацией комментариев с мобильных устройств.