Упр.8.12 ГДЗ Мерзляк 10 класс Углубленный уровень (Алгебра)
Решение #1

Рассмотрим вариант решения задания из учебника Мерзляк, Номировский, Поляков 10 класс, Просвещение:
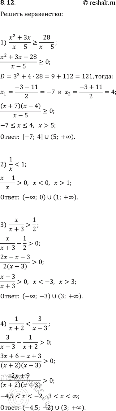
8.12. Решите неравенство:
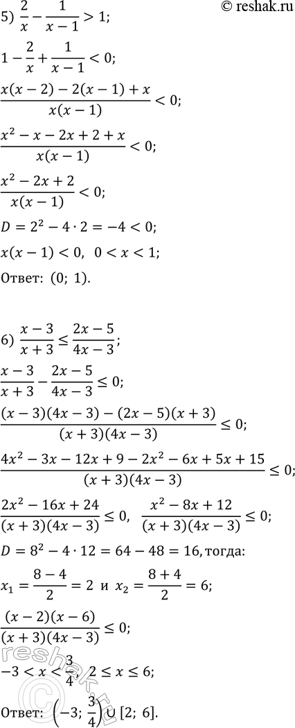
1) (x^2+3x)/(x-5)?28/(x-5); 3) x/(x+3) > 1/2; 5) 2/x-1/(x-1) > 1;
2) 1/x < 1; 4) 1/(x+2) < 3/(x-3); 6) (x-3)/(x+3)?(2x-5)/(4x-3).
Похожие решебники
Популярные решебники 10 класс Все решебники
*размещая тексты в комментариях ниже, вы автоматически соглашаетесь с пользовательским соглашением