Упр.7.64 ГДЗ Дорофеев Суворова 7 класс (Алгебра)
Решение #1

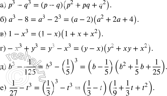
Рассмотрим вариант решения задания из учебника Дорофеев, Суворова, Бунимович 7 класс, Просвещение:
а) р3 - q3;
б) а3 - q3;
в) 1 - x3;
г) -x3 + у3;
д) b3 - 1/125;
е) 1/27 - t3.
Популярные решебники 7 класс Все решебники
*размещая тексты в комментариях ниже, вы автоматически соглашаетесь с пользовательским соглашением