Упр.7.66 ГДЗ Дорофеев Суворова 7 класс (Алгебра)
Решение #1

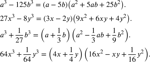
Рассмотрим вариант решения задания из учебника Дорофеев, Суворова, Бунимович 7 класс, Просвещение:
РАССУЖДАЕМ Составьте выражения, которые можно разложить на множители с помощью формул суммы кубов или разности кубов, и выполните эти преобразования.
Популярные решебники 7 класс Все решебники
*размещая тексты в комментариях ниже, вы автоматически соглашаетесь с пользовательским соглашением