Упр.7.61 ГДЗ Дорофеев Суворова 7 класс (Алгебра)
Решение #1

Рассмотрим вариант решения задания из учебника Дорофеев, Суворова, Бунимович 7 класс, Просвещение:
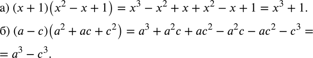
Выполните умножение по правилу умножения многочленов:
а) (х + 1)(x2 - х + 1);
б) (а - с)(а2 + ас + с2).
Популярные решебники 7 класс Все решебники
*размещая тексты в комментариях ниже, вы автоматически соглашаетесь с пользовательским соглашением