Упр.7.68 ГДЗ Дорофеев Суворова 7 класс (Алгебра)
Решение #1

Рассмотрим вариант решения задания из учебника Дорофеев, Суворова, Бунимович 7 класс, Просвещение:
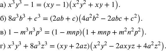
Разложите на множители (878—879).
878 a) x3y3 - 1;
б) 8a3b3 + с8;
в) 1 - m3n3p3;
r) x3y3 + 8a3z3.
Популярные решебники 7 класс Все решебники
*размещая тексты в комментариях ниже, вы автоматически соглашаетесь с пользовательским соглашением