Упр.7.70 ГДЗ Дорофеев Суворова 7 класс (Алгебра)
Решение #1

Рассмотрим вариант решения задания из учебника Дорофеев, Суворова, Бунимович 7 класс, Просвещение:
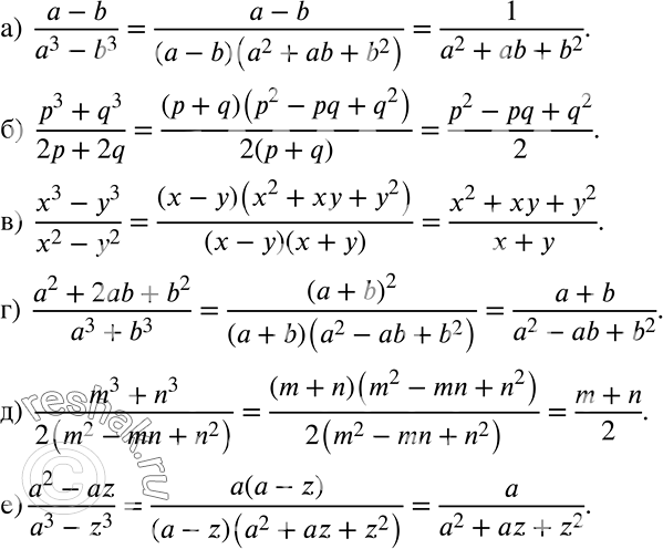
Сократите дробь:
а) (a-b)/(a3-b3);
б) (p3 + q3)/(2p+2q);
в) (x3-y3)/(x2-y2);
г) (a2+2ab + b2)/(a3+b3);
д) (m3+n3)/(2(m2 - mn + n2));
е) (a2-az)/(a3-z3).
Популярные решебники 7 класс Все решебники
*К сожалению, временные проблемы с публикацией комментариев с мобильных устройств.