Упр.7.59 ГДЗ Дорофеев Суворова 7 класс (Алгебра)
Решение #1

Рассмотрим вариант решения задания из учебника Дорофеев, Суворова, Бунимович 7 класс, Просвещение:
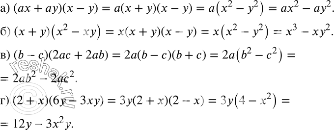
Используйте формулу (а - b)(a + b) = а2 - b2 для преобразования произведения в многочлен (869—870).
869 а) (ах + аy)(х - у);
б) (х + у)(х2 - ху);
в) (b - с)(2ас + 2ab);
г) (2 + х)(6y - 3ху).
Популярные решебники 7 класс Все решебники
*размещая тексты в комментариях ниже, вы автоматически соглашаетесь с пользовательским соглашением