Упр.7.69 ГДЗ Дорофеев Суворова 7 класс (Алгебра)
Решение #1

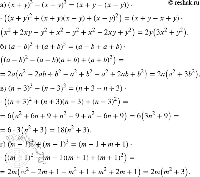
Рассмотрим вариант решения задания из учебника Дорофеев, Суворова, Бунимович 7 класс, Просвещение:
a) (x + y)3 -(x- y)3;
Р±) (a - b)3 + (a + b)3;
РІ) (n + 3)3 - (n - 3)3;
Рі) (m - 1)3 + (m + 1)3.
Популярные решебники 7 класс Все решебники
*К сожалению, временные проблемы с публикацией комментариев с мобильных устройств.