Упр.7.63 ГДЗ Дорофеев Суворова 7 класс (Алгебра)
Решение #1

Рассмотрим вариант решения задания из учебника Дорофеев, Суворова, Бунимович 7 класс, Просвещение:
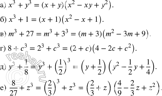
Разложите на множители (873—874).
873 а) x3 + у3;
б) x3 + 1;
в) m3 + 27;
г) 8 + с3;
д) у3 + 1/8;
е) 8/27 + z3.
Популярные решебники 7 класс Все решебники
*размещая тексты в комментариях ниже, вы автоматически соглашаетесь с пользовательским соглашением