Упр.7.57 ГДЗ Дорофеев Суворова 7 класс (Алгебра)
Решение #1

Рассмотрим вариант решения задания из учебника Дорофеев, Суворова, Бунимович 7 класс, Просвещение:
Представьте в виде многочлена (867—868).
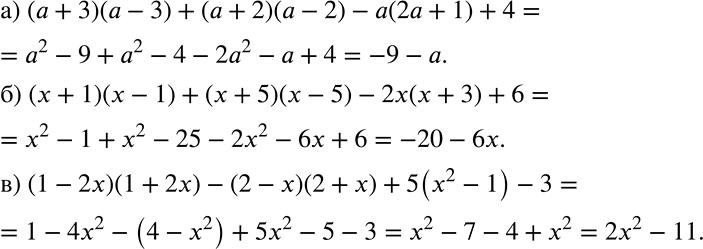
867 а) (a + 3)(а - 3) + (а + 2)(а - 2) - а(2а + 1) + 4;
б) (х + 1)(х - 1) + (х + 5)(х - 5) - 2х(х + 3) + 6;
в) (1 - 2х)(1 + 2х) - (2 - х)(2 + х) + 5(х2 - 1) - 3.
Популярные решебники 7 класс Все решебники
*размещая тексты в комментариях ниже, вы автоматически соглашаетесь с пользовательским соглашением