Упр.7.49 ГДЗ Дорофеев Суворова 7 класс (Алгебра)
Решение #1

Рассмотрим вариант решения задания из учебника Дорофеев, Суворова, Бунимович 7 класс, Просвещение:
Представьте выражение в виде многочлена (859—861).
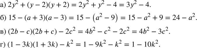
859 а) 2у2 + (у - 2)(у + 2);
б) 15 - (а + 3)(а - 3);
в) (2b - с)(2b + с) - 2с2;
г) (1 - 3k)(1 + 3k) - k2.
Популярные решебники 7 класс Все решебники
*размещая тексты в комментариях ниже, вы автоматически соглашаетесь с пользовательским соглашением