Упр.7.51 ГДЗ Дорофеев Суворова 7 класс (Алгебра)
Решение #1

Рассмотрим вариант решения задания из учебника Дорофеев, Суворова, Бунимович 7 класс, Просвещение:
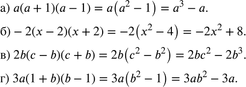
а) а(а + 1)(а - 1);
б) -2(х - 2)(х + 2);
в) 2b(с - b)(с + b);
г) 3а(1 + b)(b - 1).
Популярные решебники 7 класс Все решебники
*К сожалению, временные проблемы с публикацией комментариев с мобильных устройств.